

Here's the graph just below:

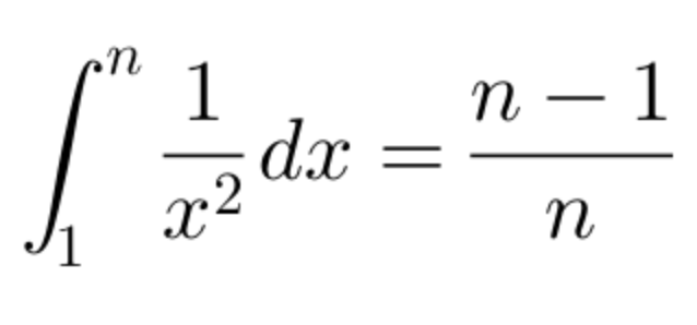
You may have heard of Gabriel's Horn, which is an imaginary horn of infinite length based on this special function: y = 1/x2. To calculate its volume, simply multiply the integral by pi(π). However, n = ∞ due to this imaginary horn being infinitely long! Its surface area is also infinite! In fact, this horn is too big to fit into the physical universe! Anyway, this Web page is about the 2-dimensional version of this imaginary horn. (Or at least half of it!)

In the example, we calculated part of the area of the 2-D half horn. (From x = 1 to x = 8)
Also, to conclude this Web page, you can also print the function as: y = x-2

Back to Index Page Back to Math Trick Menu
© Derek Cumberbatch